글로벌 연구동향
핵의학
- 2025년 01월호
[Clin Nucl Med .] Clinical Factors Affecting Discrepancy Between Predicted and Long-term Actual Lung Function Following Surgery서울의대 / 주재우, 서민석*
- 출처
- Clin Nucl Med .
- 등재일
- 2024 Nov 1
- 저널이슈번호
- 49(11):e574-e579.
- 내용
Abstract
Purpose: Lung cancer surgery outcomes depend heavily on preoperative pulmonary reserve, with forced expiratory volume in 1 second (FEV1) being a critical preoperative evaluation factor. Our study investigates the discrepancies between predicted and long-term actual postoperative lung function, focusing on clinical factors affecting these outcomes.Methods: This retrospective observational study encompassed lung cancer patients who underwent preoperative lung perfusion SPECT/CT between 2015 and 2021. We evaluated preoperative and postoperative pulmonary function tests, considering factors such as surgery type, resected volume, and patient history including tuberculosis. Predicted postoperative lung function was calculated using SPECT/CT imaging.
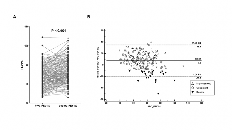
Results: From 216 patients (men:women, 150:66; age, 67.9 ± 8.7 years), predicted postoperative FEV1% (ppoFEV1%) showed significant correlation with actual postoperative FEV1% ( r = 0.667; P < 0.001). Paired t test revealed that ppoFEV1% was significantly lower compared with actual postoperative FEV1% ( P < 0.001). The study identified video-assisted thoracic surgery (VATS) (odds ratio [OR], 3.90; 95% confidence interval [CI], 1.98-7.69; P < 0.001) and higher percentage of resected volume (OR per 1% increase, 1.05; 95% CI, 1.01-1.09; P = 0.014) as significant predictors of postsurgical lung function improvement. Conversely, for the decline in lung function postsurgery, significant predictors included lower percentage of resected lung volume (OR per 1% increase, 0.92; 95% CI, 0.86-0.98; P = 0.011), higher preoperative FEV1% (OR, 1.03; 95% CI, 1.01-1.07; P = 0.009), and the presence of tuberculosis (OR, 5.19; 95% CI, 1.48-18.15; P = 0.010). Additionally, in a subgroup of patients with borderline lung function, VATS was related with improvement.
Conclusions: Our findings demonstrate that in more than half of the patients, actual postsurgical lung function exceeded predicted values, particularly following VATS and with higher volume of lung resection. It also identifies lower resected lung volume, higher preoperative FEV1%, and tuberculosis as factors associated with a postsurgical decline in lung function. The study underscores the need for precise preoperative lung function assessment and tailored postoperative management, with particular attention to patients with relevant clinical factors. Future research should focus on validation of clinical factors and exploring tailored approaches to lung cancer surgery and recovery.


Affiliations
Jae-Woo Ju 1, Minseok Suh 2, Hongyoon Choi 2, Kwon Jooong Na 3, Samina Park 3, Gi Jeong Cheon 2, Young Tae Kim 3
1From the Departments of Anesthesiology and Pain Medicine.
2Nuclear Medicine.
3Thoracic and Cardiovascular Surgery, Seoul National University Hospital, Seoul National University College of Medicine, Seoul, Korea.
- 연구소개
- 이 연구는 폐암 수술 후 실제 폐 기능이 예측값을 초과하는 경우가 많다는 중요한 발견을 했습니다. 특히 비디오 보조 흉강경 수술(VATS)을 받은 환자와 더 큰 폐 용적을 절제한 환자에서 이러한 경향이 두드러졌습니다. 반면, 더 작은 폐 용적 절제, 높은 수술 전 폐 기능, 그리고 결핵 병력은 수술 후 폐 기능 감소와 관련이 있었습니다. 연구는 또한 경계선 폐 기능을 가진 환자들에게 VATS가 특히 유익할 수 있다는 점을 시사했습니다. 이러한 결과는 폐암 수술 전후 개별화된 폐 기능 평가와 관리의 중요성을 강조하며, 향후 폐암 환자의 수술 계획 수립과 예후 예측에 중요한 지침을 제공할 것으로 기대됩니다.
- 덧글달기
- 이전글 [Clin Nucl Med .] Risk Factors for Rapid Cognitive Decline in Amyloid-Negative Individuals Without Cognitive Impairment or With Early-Stage Cognitive Loss in Screening Tests
- 다음글 [J Nucl Med .] Impact of 18F-FES PET/CT on Clinical Decisions in the Management of Recurrent or Metastatic Breast Cancer





