글로벌 연구동향
방사선종양학
- 2025년 09월호
[In Vivo .] Impact of Thyroid Dose on Radiation-induced Hypothyroidism in Early Glottic Cancer Patients Undergoing Volumetric Modulated Arc Therapy한림의대 / 박혜진, 구태률*
- 출처
- In Vivo .
- 등재일
- 2025 Jul-Aug
- 저널이슈번호
- 39(4):2397-2404.
- 내용
Abstract
Background/aim: To evaluate the incidence of radiation-induced hypothyroidism (RIHT) and its association with thyroid dose in patients undergoing volumetric modulated arc therapy (VMAT) for early glottic cancer.Patients and methods: We retrospectively reviewed 23 patients with early glottic cancer who received VMAT between 2018 and 2023. All included patients had normal baseline thyroid function tests. RIHT was defined as an increase in thyroid-stimulating hormone levels with or without a decrease in free-T4 or T3 levels. Dose-volume parameters (DVPs) of the thyroid gland, including mean dose and the relative thyroid volume receiving at least 10-60 Gy (V10Gy-V60Gy), were analyzed for correlation with RIHT.
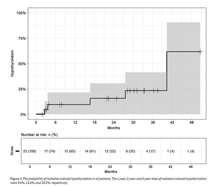
Results: The median follow-up time was 36.4 months, during which all patients survived. The 1-year and 3-year local failure-free survival rates were 91.3% and 82.4%, respectively. The median mean dose was 25.2 Gy. RIHT developed in five patients (21.7%), with a median onset time of 16.7 months after VMAT. Among them, one patient received thyroid hormone therapy. Among the DVPs, V10Gy>70% was significantly associated with a higher risk of RIHT. The 2-year rates of RIHT were 6.2% in patients with V10Gy≤70% and 44.4% in patients with V10Gy>70% (p=0.006). Age and underlying diseases were not associated with RIHT.
Conclusion: A considerable proportion of patients developed RIHT after VMAT for early glottic cancer. The thyroid gland should be recognized as an important organ at risk. For VMAT planning, V10Gy may serve as a useful optimization constraint.

Affiliations
Hae Jin Park 1, Taeryool Koo 2, Kwang-Ho Cheong 3, Me Yeon Lee 3, Hyeon Kang Koh 4, Younghee Park 5
1Department of Radiation Oncology, Hanyang University College of Medicine, Seoul, Republic of Korea.
2Department of Radiation Oncology, Hallym University Sacred Heart Hospital, Hallym University College of Medicine, Anyang-si, Republic of Korea; kootaeryool@hallym.or.kr.
3Department of Radiation Oncology, Hallym University Sacred Heart Hospital, Hallym University College of Medicine, Anyang-si, Republic of Korea.
4Department of Radiation Oncology, Konkuk University School of Medicine and Konkuk University Medical Center, Seoul, Republic of Korea.
5Department of Radiation Oncology, Ewha Womans University Seoul Hospital, Ewha Womans University College of Medicine, Seoul, Republic of Korea.
- 키워드
- Hypothyroidism; early glottic cancer; radiotherapy; volumetric modulated arc therapy.
- 연구소개
- 최근 조기성문암에 세기조절방사선치료를 사용하는 빈도가 늘고 있습니다. 조기성문암은 다른 두경부암에 비해 갑상샘 조사량이 작기 때문에 방사선치료계획 수립 시 통상적으로 사용하는 견딤선량을 적용하기가 어렵습니다. 본 연구가 조기성문암에 대한 세기조절방사선치료 계획을 수립할 때 참고가 되었으면 합니다.
- 덧글달기
- 이전글 [In Vivo .] Prognostic Value of Uric Acid in Predicting Metastasis Following Definitive Radiotherapy in Patients With Head and Neck Cancer
- 다음글 [Cancers (Basel) .] Comparison of Stereotactic Body Radiotherapy and Surgery for Stage I Lung Cancer: A Multidisciplinary Cohort Study Utilizing Propensity Score Overlap Weighting and AI-Based CT Imaging Analysis






편집위원
초기 성문암환자의 방사선치료 시 방사선유발 갑상선기능저하증(RIHT)의 발현정도를 분석한 연구입니다. 비록 적은 환자를 대상으로 후향적 분석을 했으나, dose-volume parameter에서 갑상선의 V10Gy가 70%를 초과할 경우 RIHT의 위험 요소라는 내용이 있어 임상에 참고할 만한 자료가 될 것으로 보입니다.
덧글달기닫기2025-08-28 11:23:49
등록