글로벌 연구동향
방사선종양학
- 2025년 08월호
[Lung Cancer .] Association of thyroid radiation dose with thyroid dysfunction in patients with locally advanced non-small cell lung cancer treated with concurrent chemoradiotherapy followed by maintenance immunotherapy연세의대 / 양고운*, 김경환*
- 출처
- Lung Cancer .
- 등재일
- 2025 Jun:204:108574.
- 저널이슈번호
- 내용
Abstract
Background and purpose: We investigated whether incidental irradiation to the thyroid increased the risk of thyroid dysfunction among patients with non-small cell lung cancer (NSCLC) undergoing concurrent chemoradiotherapy (CCRT) followed by maintenance immunotherapy (IO).Materials and methods: This was a retrospective study of 250 patients diagnosed with locally advanced NSCLC during 2014-2022 who were treated with definitive CCRT followed by maintenance IO. The primary endpoint was the incidence of thyroid dysfunction, which we compared between patients with irradiation of the supraclavicular fossa (the SCFi group) and those without (the non-SCFi group).
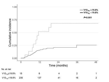
Results: By a median follow-up time of 16.6 months, 23/64 patients (35.9%) in the SCFi group and 27/186 patients (14.5%) in the non-SCFi group developed thyroid dysfunction (P < 0.001). The 3-year cumulative incidence of thyroid dysfunction was 54.9% in the SCFi group and 17.0% in the non-SCFi group (P < 0.001). A higher thyroid volume exposed to 10 Gy of radiation (V10Gy) significantly and independently predicted an increased risk of thyroid dysfunction (hazard ratio, 2.82). The 3-year cumulative incidence of thyroid dysfunction was 67.9% in patients with V10Gy ≥ 19.8% and 25.6% in patients with V10Gy < 19.8% (P < 0.001). Via recursive-partitioning analysis, patients were classified into three risk groups based on the V10Gy cutoff of < 19.8% and age cutoff of ≥ 75 years. The 3-year cumulative incidence of thyroid dysfunction was the highest (74.0%) in the high-risk group (P < 0.001).
Conclusion: Incidental irradiation of the thyroid during CCRT is associated with an increased risk of thyroid dysfunction during maintenance IO. This supports the need to minimize the thyroid dose.


그림 SCF 조사 여부에 따른 갑상선 기능 이상 누적 발병률. SCF 조사군(SCFi)과 비조사군(non-SCFi) 간에 유의한 차이를 보임.

그림 갑상선 V10Gy≥19.8% 군과 V10Gy<19.8% 군 간의 갑상선 기능 이상에 대한 누적 발병률.
Affiliations
Gowoon Yang 1, Hong In Yoon 2, Sun Min Lim 3, Min Hee Hong 3, Jaeho Cho 2, Chang Geol Lee 2, Byoung Chul Cho 3, Hye Ryun Kim 3, Kyung Hwan Kim 4
1Department of Radiation Oncology, Cha University Ilsan Cha Hospital, Cha University School of Medicine, 1205, Jungang-ro, Ilsandong-gu, Goyang-si, Gyeonggi-do 10414, Republic of Korea; Department of Radiation Oncology, Yonsei Cancer Center, Heavy Ion Therapy Research Institute, Yonsei University College of Medicine, 50-1, Yonsei-ro, Seodaemun-gu, Seoul 03722, Republic of Korea. Electronic address: yang816@chamc.co.kr.
2Department of Radiation Oncology, Yonsei Cancer Center, Heavy Ion Therapy Research Institute, Yonsei University College of Medicine, 50-1, Yonsei-ro, Seodaemun-gu, Seoul 03722, Republic of Korea.
3Division of Medical Oncology, Department of Internal Medicine, Yonsei Cancer Center, Yonsei University College of Medicine, 50-1, Yonsei-ro, Seodaemun-gu, Seoul 03722, Republic of Korea.
4Department of Radiation Oncology, Yonsei Cancer Center, Heavy Ion Therapy Research Institute, Yonsei University College of Medicine, 50-1, Yonsei-ro, Seodaemun-gu, Seoul 03722, Republic of Korea. Electronic address: KYUNGHKIM@yuhs.ac.
- 키워드
- Carcinoma; Hypothyroidism; Immunotherapy; Non-small cell lung; Radiotherapy.
- 연구소개
- 본 연구는 국소 진행성 비소세포폐암 환자에서 동시항암방사선치료 후 유지 면역요법(maintenance immunotherapy)을 시행하는 동안, 갑상선에 대한 우연 방사선 조사(incidental irradiation)가 갑상선 기능 이상 발생의 위험을 증가시키는지 밝히고자 한 논문입니다. 갑상선 기능 이상 발생률을 supraclavicular fossa(SCF) 조사 여부에 따라 SCF irradiation(SCFi) 그룹과 non-SCFi 그룹으로 비교하였고, 갑상선에 조사된 방사선 용량(V10Gy)과 갑상선 기능 이상 발생 간의 관계를 분석하였습니다. 그 결과, SCFi 그룹에서 3년 누적 갑상선 기능 이상 발생률이 현저히 높았습니다. 또한, V10Gy가 19.8% 이상인 경우 갑상선 기능 이상이 발생할 위험이 유의하게 증가하였습니다. 본 연구 결과는 치료계획 시 갑상선의 방사선 조사를 최소화하는 것이 중요함을 시사합니다.
- 덧글달기
- 이전글 [Cancers (Basel) .] Comparison of Stereotactic Body Radiotherapy and Surgery for Stage I Lung Cancer: A Multidisciplinary Cohort Study Utilizing Propensity Score Overlap Weighting and AI-Based CT Imaging Analysis
- 다음글 [Cancers (Basel) .] High-Risk Early-Stage Endometrial Cancer: Role of Adjuvant Therapy and Prognostic Factors Affecting Survival






편집위원
국소진행된 비소세포폐암(NSCLC)에서 동시항암방사선요법(CCRT)과 유지 면역요법(maintenance immunotherapy)을 받은 환자를 대상으로 갑상선기능장애 발현 정도를 분석한 연구입니다. 후향적 연구이기는 하지만, 최근 유지 면역요법을 받는 환자들이 크게 늘어남에 따라 해당 환자들의 갑상선 기능장애 역시 증가했다는 연구들이 발표된 바, CCRT시 간과하기 쉬운 갑상선기능장애에 대한 발현 정도를 보고하면서, V10Gy (10 Gy 이상 조사되는 갑상선 부피의 분율)가 중요한 인자임을 결론 내고 있습니다. 본 연구를 통해 CCRT시, 특히 쇄골상임파절 부위가 방사선치료 범위에 속하는 경우, 갑상선의 제한선량으로 참고할 수 있을 것으로 보입니다.
덧글달기닫기2025-07-21 17:07:36
등록
편집위원2
폐암으로 방사선치료와 면역치료를 받은 환자에서 갑상선기능저하증의 빈도를 분석한 연구로, 면역치료 시대에 방사선치료의 dose-volume constraint를 새로이 정립할 필요성을 제시함.
덧글달기닫기2025-07-21 17:08:46
등록
편집위원3
면역치료제와 국소진행성 폐암에서 갑상선에 방사선이 조사되는 경우 각각이 갑상선기능이상을 유발할 수 있는데, 본 연구에서는 이러한 두가지 위험요소가 동반될 때 갑상선기능이상을 분석하였고 갑상선에 조사되는 V10Gy가 가장 유의한 인자임을 보여주었습니다. 국소진행성 폐암에서 면역치료제와 방사선치료가 함께 적용될 때 갑상선기능이상 발생 위험성 증가에 대한 주의가 필요하겠습니다.
덧글달기닫기2025-07-21 17:26:22
등록
편집위원 4
NSCLC CCRT에서 Tyroid 방사선부작용과 관련한 흥미로운 연구로서 방사선 치료 중 우발적으로 갑상선에 조사되는 방사선량이 많을수록 유지 면역항암제 치료 중 갑상선 기능 이상 위험의 증가를 보여주고 있습니다.
덧글달기닫기2025-08-01 10:07:51
등록
편집위원 5
본 연구는 국소 진행성 비소세포폐암 환자에서 concurrent chemoradiotherapy 중 갑상선에 가해진 방사선량이 이후 Maintenance Immunotherapy 기간 동안 갑상선 기능 이상의 위험을 증가시킨다는 것을 확인한 연구임. 250명의 환자를 supraclavicular fossa irradiation 여부로 나누어 비교한 결과, 치료받은 그룹에서 갑상선 기능 이상 발생률이 유의미하게 높았으며, 또한 갑상선이 10Gy 이상의 방사선에 노출된 용적 비율이 기능 이상의 가장 중요한 예측 인자임을 확인함. 이러한 결과는 향후 폐암 환자의 방사선치료 계획 시 갑상선 선량 최소화의 중요성을 뒷받침하며, 고선량에 노출된 환자군에 대한 면밀한 추적 관찰의 중요성을 제시하여 환자의 치료 부작용 완화에 기여할 수 있다는 점에서 의의가 있음
덧글달기닫기2025-08-01 10:14:08
등록